|
|
|
|
General |
Many vibration environments are
not related to a specific driving frequency and may have input from multiple
sources which may not be harmonically related. Examples may be excitation
from turbulent flow as in air flow over a wing or past a car body, or acoustic
input from jet engine exhaust, wheels running over a road, etc. With these
types of vibration, it may be more accurate, or of more interest to analyze
and test using random vibration.
Unlike sinusoidal vibration, acceleration,
velocity and displacement are not directly related by any specific frequency.
Of primary concern in random testing is the complete spectral content of
the vibration being measured or generated. Most random vibration testing
is conducted using Gaussian random suppositions for both measurement and
specification purposes. With Gaussian assumptions, there is no definable
maximum amplitude, and the amplitude levels are measured in RMS (root-mean-squared)
values. |
|
Peak Levels |
In true Gaussian random vibration,
the amplitude value at any given time is a statistical relationship with
time. The classic bell-shaped amplitude distribution curve shows that most
of the time, the instantaneous vibration values will be in the areas adjacent
to zero. Higher amplitudes will be experienced for lower portions of the
measured time. This postulation implies that there is some statistically
significant amount of time that vibration amplitudes will be at extremely
high values.
Since systems designed to measure
and to generate vibration levels must have some finite maximum capability,
a common modification of pure Gaussian random is usually specified limiting
the peak amplitude excursions. The most common maximum amplitude specification
holds the peak amplitude between plus and minus three times the RMS value
of the level being considered. This specification is normally noted by
its statistical name: 3s (sigma) peaks. In fact, ignoring or not generating
peaks above the 3s level accounts for less than .04% of the test time, and
can normally be completely ignored. Many specifications can be found at
the 2.5s level and some even lower, and a few newer specifications using Kurtosis call for vibration peaks higher than 3s. |
|
Vibration Levels |
With random vibration levels, acceleration
is usually specified in g's RMS. Likewise, velocity and displacement are
usually specified in units of inches/second RMS and Inches RMS or their
metric equivalents. For vibration testing applications, almost all test
specifications specify the vibration level in terms of acceleration. Although
a random vibration specification may indicate an overall level in g's RMS,
it cannot be considered a complete specification if it does not delineate
the spectral content of the vibration. The overall level is important for
consideration of the magnitude of the equipment that must be used to measure
or generate the random vibration, but actual testing must consider the specific
frequency content if it is to provide meaningful testing or information. |
|
Spectral Content |
Random vibration can be thought
of as containing excitation at all frequencies within the specified frequency
band but no excitation at any specific single frequency. This concept can
be difficult to understand. However, the equations that follow may help.
Suffice it to say that one can realize amplitude values only if a spread
of frequency (bandwidth) is considered. Acceleration spectra is normally
specified in terms of its' acceleration density using the units of g2
per Hz. Acceleration density is defined as: |

|

|
|
A plot of the acceleration density
for each component frequency verses frequency gives a curve of g2/Hz
over the frequency spectrum of interest. This curve is known as the PSD
or Power Spectral Density curve. The PSD curve is the normal method used
to describe random vibration specifications. Since the PSD curve is a plot
of acceleration density, the overall rms acceleration can be found by summation
of this density over frequency. |

|

|
|
If a random specification calls
for a flat PSD curve, the overall acceleration level is easily calculated
from the following equation. |

|

|
|
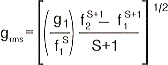
Bands of spectra with non-flat,
but straight line (log-log), acceleration density characteristics can substitute
the following equation for overall acceleration. |

|

|
|
Bands of different acceleration
density can be added as the areas under the PSD curve as follows: |

|
|
Random displacement is important
to those specifying a shaker system to insure that the shaker system selected
has sufficient relative armature displacement to avoid over travel conditions.
Displacement can be found from: |
where
D=displacement
|
|
Which leads to: |

|
|
Since we are interested in the
peak to peak displacement, and if we assume that there will be 3σ
displacement peaks, then D3σp-p =2 x 3 x Drms
or: |

|
|
If the lowest spectrum shape specifies
a rectangular acceleration density profile, allowance must be made for non
perfect filter roll-off below the lowest frequency specified. Common practice
is to use a displacement multiplier of 42.8 instead of 33.87 in the previous
equation, which will compensate for an approximate 24 dB/octave low frequency
filter characteristic. |
|
Vibration System Performance |
Because vibration specifications
are usually expressed in terms of acceleration peak for sine and acceleration
rms for random, most vibration systems will have an apparent lower force
capability for random vibration. Further random derating comes from the
ability of the vibration systems' power amplifier to deliver peak voltage and current to supply
the random peak force requirements. Labworks linear amplifiers can usually
supply significant peak current for short durations and this limitation
is not as severe as that formed by their peak voltage capability. In common
with most vibration system manufactures, Labworks maximum performance random
ratings are often based on passing 3s current peaks and 2.5s voltage peaks.
If the force requirements are reduced, the peak voltage capability of the
amplifier remains fixed thereby allowing for full 3s (or higher) voltage
peaks to be generated. It can be shown that the non-flat transfer characteristics
of electrodynamic systems will generate 3s acceleration peaks even if the
voltage is severely clipped, and in fact the effects of clipping voltage
at 2.5s are normally completely negligible.
Some vibration system random ratings
are specified with a specific wide bandwidth spectrum. This can be misleading
in that they may be taking advantage of shaker resonances to supply acceleration
levels at reduced shaker drive current. If a narrower random bandwidth is
needed, or does not include the shakers resonance, the system must be further
derated. Labworks systems' random ratings are independent of bandwidth and
can be counted on for any bandwidth below their operational upper frequency
limit. |
|
Ground Isolation |
Since most random vibration specifications
have lower frequency limits above 10 Hz the amount of force concentrated
below 30 Hz is minimal. Most shakers used for random vibration testing can
be effectively isolated from the ground by using solid type rubber machinery
mounts having resonance frequencies between 10 and 20 Hz. |
|